Crack This Code

:salam2:


Restored attachments:

Re: Crack This Code

In ko solve ker ke phone number Miley ga :hayaa:

Re: Crack This Code

^
U ko ‘Hello Hello’ mila, kiya :faizy:

Re: Crack This Code

I will solve it tomorrow let’s see kya milta Hai answer :e6:

Re: Crack This Code

^
oky ji :lifey:

:shoaby:

Re: Crack This Code

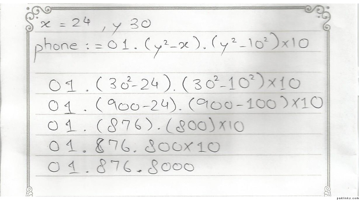
phone number : 01.876.8000:smiley:

Re: Crack This Code

Do you like this sort of thing fariha? I have some more puzzles of my own … Fancy a try?

Re: Crack This Code

OMGGGGGGGGGGGGGGGGGGGGGGGGGGG

I feel so stupid right now.

Re: Crack This Code

bohut maza aya solve kerne main:D

sure :stuck_out_tongue:

Re: Crack This Code

Jo O’ Shehzadi :lifey: Cha gai ho :jhanda:

Re: Crack This Code

:smiley:

Re: Crack This Code

I’ll start a new thread in All Views for … Code Breaking … soon

Re: Crack This Code

:sadaf:

Re: Crack This Code

Psyah bhai, is forum mein kiyon nahi ? :confused: